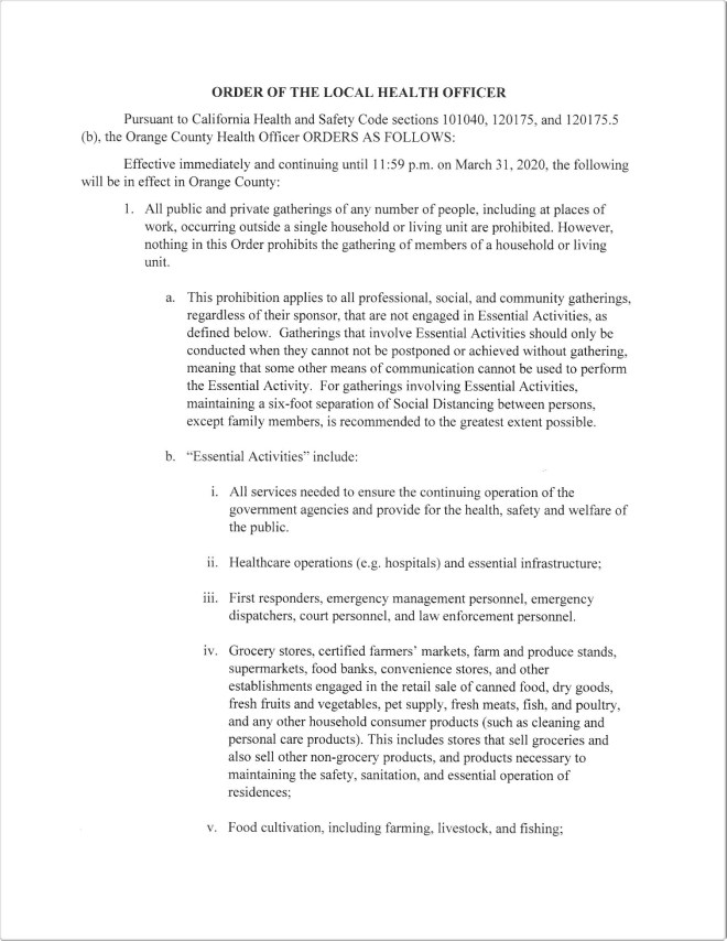
On March 17, 2020, the Orange County Health Officer has issued the following Order:*
”We are taking these mitigation steps in line with a directive issued by Governor Newsom to help slow the spread of COVID-19,” said Dr. Nichole Quick, County Health Officer. “We recognize community members may experience anxiety related to the social disruption caused by COVID-19, and want to encourage residents to reach out to loved ones using appropriate methods like telephone, video messaging, email and text.”





* UPDATE
This evening, Orange County issued the following update and clarification of their earlier Order:
ORANGE COUNTY OPERATIONAL AREA
EMERGENCY OPERATIONS CENTER
FOR IMMEDIATE RELEASE
Molly Nichelson
EOC Public Information Officer
PRESS RELEASE # 008
Date: 3-17-20 Time: 18:51 hours
Public Health Order is NOT an Order to Shelter in Place
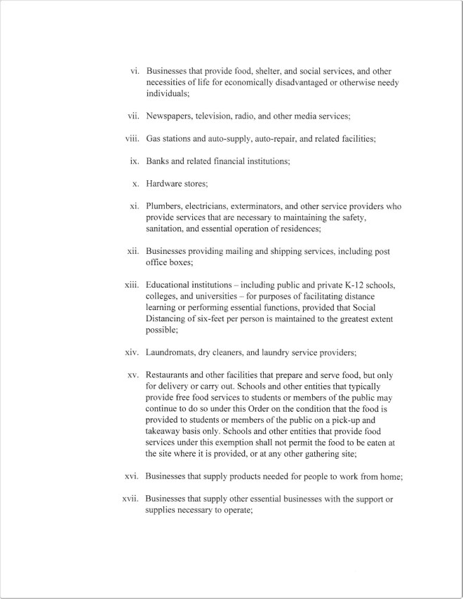
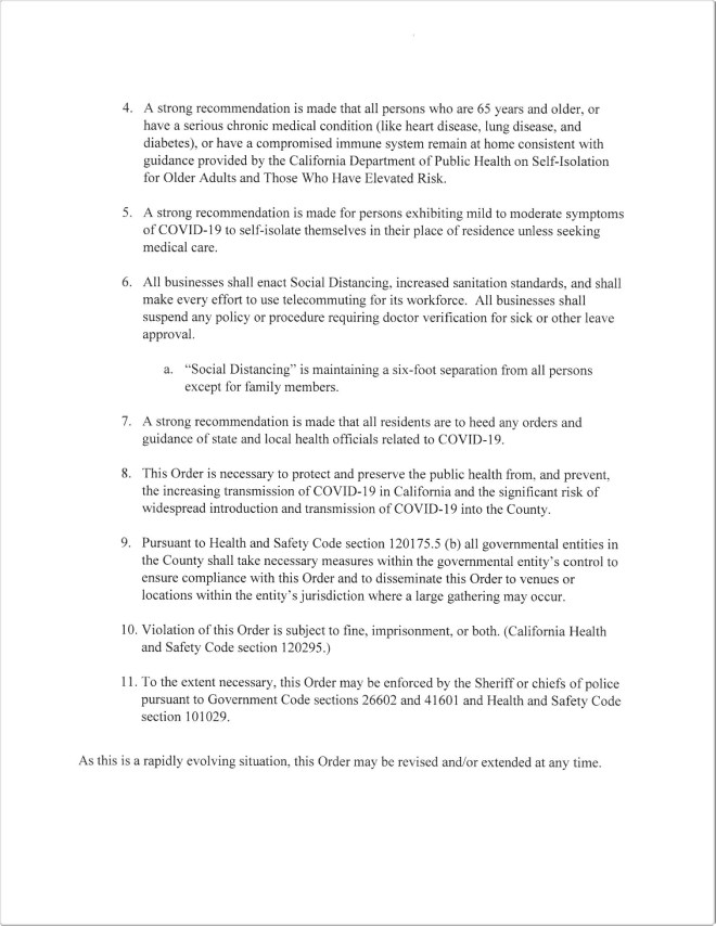
Today’s order from County Health Officer Dr. Nichole Quick is NOT an order to shelter in place. It is not a lockdown. It is important for all Orange County businesses to remain open while practicing social distancing consistent with the Governor’s guidance. However, following State guidelines, all bars and other establishments that serve alcohol and do not serve food shall close. All restaurants and other business establishments that serve food shall close all onsite dining. Pickup, delivery and drive thru services may remain open. It is important for all Orange County residents to read the order in its entirety.
Unfortunately, the order as written caused wide-spread confusion. In order to provide additional clarity requested by Orange County residents and businesses, the County will be issuing an amended Health Officer’s Order.
Should you have questions, please contact the County of Orange Public Information Hotline at (714) 628-7085. Please do not call 9-1-1 unless it is an emergency.
For general information about COVID-19, please call the OC Health Care Agency’s (HCA) Health Referral Line at (800) 564-8448, visit http://www.ochealthinfo.com/novelcoronavirus, or follow the HCA on Facebook (@ochealthinfo) and Twitter (@ochealth).
View the Press Release here.
Please also see my earlier posts related to COVID-19:
California State Tax Deadline Extended to June 15 Due to COVID-19 Pandemic
Irvine Schools Providing Lunches for Students During COVID-19 Closure
Irvine City Council Issues Response to Coronavirus Outbreak
California Financial Support for Employers and Employees Affected by the Coronavirus
We’re All in this Together. The Coronavirus Doesn’t Discriminate. Neither Should We.
Consult these additional resources for up-to-date information.
You must be logged in to post a comment.